ද2025 වසරේ සිට ක්රියාත්මක වන පරිදි රාජ්ය සහ පෞද්ගලික සේවකයින්ගේ “පුද්ගල ආදායම් බද්ද” පහත හෙළීමට අදාළ යෝජනාවක් 2025 අයවැයට ඇතුළත් කිරීමට කැබිනට් මණ්ඩලයේ අනුමැතිය ලැබි ඇත.
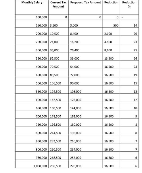
පුද්ගල ආදායම් බද්ද සංශෝධනය කිරීමට අදාළව රජය ජාත්යන්තර මූල්ය අරමුදලට රජය විසින් යෝජනාවක් ඉදිරිපත් කර තිබූ අතර ඒ අනුව ජාත්යන්තර මූල්ය අරමුදල මගින් යෝජනා කර තිබූ සංශෝධනයන් ට සමගාමීව එම බදු අඩු කිරීමට නියමිතයි. ඒ අනුව, මාසිකව රුපියල් 150,000ක ආදායමක් ලබන අයෙකුගෙන් අයකෙරෙන පුද්ගල ආදායම් බද්ද රු.500කින්, රුපියල් ලක්ෂ 2ක ආදායමක් ලබන අයෙකුගෙන් අයකෙරෙන බද්ද රුපියල් 2,100 කින්, රුපියල් 250,000ක ආදායමක් ලබන අයෙකුගෙන් අයකරන බද්ද රුපියල් 4,800කින් අඩුකිරීමට යෝජනා කර ඇත.
බදු අඩු කිරීමට අදාළ ගැලපුම් සටහන පහත පරිදි වේ.

.
